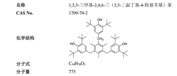
广东抗氧化剂SIONOX®330

SIONOX® 330    受阻酚类抗氧剂
高分子受阻酚类抗氧剂,与材料相容性好,耐水抽提性好。
   1、产品组成

   2、物理特性
   3、 溶解性@20℃ (g/100g 溶剂)
   4、 特性 & 应用
SIONOX®330为高分子量三元受阻酚类抗氧剂,具有不着色、低挥发、耐高温、抗萃取、电绝缘性好、抗氧效率高等特点;配合磷酸酯抗氧剂、硫代酯抗氧剂并用,协同效应显著。适用于塑料、橡胶、粘合剂、弹性体、聚酯、聚酰胺、线性聚酯、ABS树脂、苯乙烯树脂,特别适用于高温加工下的聚乙烯、聚丙烯、聚丁烯、电线电缆、介电薄膜,具有突出的加工稳定性和对制品的长效保护作用。一般用量为0.1-0.5%。
   5、 安全 & 防护
本品无需特殊的安全设备,参照一般工业品的储存方法。建议采用适当的防护措施,尽量避免长期接触产品,接触后应对眼睛或皮肤用大量流水冲洗干净。产品存放于阴凉、干燥,通风处,保持容器密闭;开封后未使用完请继续密封保存。远离火种、热源;远离强氧化剂和强还原剂。除非特殊说明,产品在合理储存条件下自制造日期起可使用24个月。其它相关操作及毒性信息详见星空游戏推荐电脑免费的SDS。

tags:广东抗氧化剂SIONOX®330厂家,广东抗氧化剂SIONOX®330价格
更新时间:23/06/08 16:52:06   【打印此页】   【关闭【返回上一页】
星空娱乐棋牌v1.1.0游戏
联系人:王经理 
市场部:15315205828
地址:山东省淄博市临淄区金山镇齐鲁化工园区南沣路以南300米
Baidu
map